Software Features
Software Features
Eliminates the mistake or trouble of selecting refractive indices
Automatic Refractive Index Calculation Function
Selecting a refractive index was an unavoidable part of using the laser diffraction method, where generally a published value was entered, but such values were not necessarily appropriate, considering the effects of particle composition and shape. Therefore, tedious trial and error processes were used to select refractive indices.
WingSALD II solves such problems by being the world's first software to include a function that automatically calculates an appropriate refractive index based on the LDR (light intensity distribution reproduction) method.

Note: The LDR method automatically calculates an appropriate refractive index based on consistency between the actual measured light intensity distribution and one reproduced (recalculated) from particle size distribution data. This method was developed by Shimadzu and published in two technical papers. It is sometimes called the "Kinoshita Method", in academic communities, after the name of Shimadzu’s engineer.
Assist function decreases operational error to ensure more accurate measurement
Measurement Assistant Functions: allow preparing SOPs to ensure measurements are always performed using the same conditions and procedures.
Creating, saving, and sharing measurement conditions and procedures, including pretreatment methods and conditions, ensures measurements are performed using the same conditions and procedures, even if performed by a different operator or at a different location or plant, and allows safely comparing data.
Furthermore, when the measurement assistant function is used, measurement instructions for the operator are displayed on the screen. This enables even inexperienced operators to perform measurements correctly. In addition, administrators and operators can be assigned different operating privileges to ensure security.
Note: SOP is an acronym for Standard Operating Procedure.

Particle size distribution data and light intensity distribution data can be displayed in real-time
This means that changes in the sample over time or shifts in the dispersion status can be monitored in real time. Since both the light intensity distribution data, which is the raw data, and particle size data can be monitored simultaneously, both data sets can be compared to monitor any changes in the status of samples.

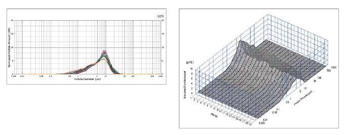
Continuous measurement of 1-second interval particle size changes
Changes in particle size distributions and particle diameters are measured continuously, at intervals as short as one second, and the results are saved. Furthermore, the results can be subjected to multifaceted analysis and evaluation using functions such as 3D graphing. For example, the reaction processes that occur when particle groups disperse, aggregate, or dissolve can be monitored

This is an example of light intensity distribution data and particle size distribution data for the dissolution process of calcium carbonate. It shows how dissolution progresses from smaller diameter particles and how the normalized amount of large particles increases.
Measurement data from multiple facets – Extensive assortment of data analysis applications included standard –
The following data analysis applications are included standard.
・Evaluation of Scattering Angle
Graphs the components of scattered light intensity at each angle. Taking advantage of the features of the highly integrated photodiode array, it allows evaluating low-angle scattered light with high resolution.
Application Fields : Evaluating the scattering characteristics of films and sheets
・Data Emulation Function
Based on SALD series measurement results, this function allows emulating measurement results obtained using other models and measurement principles. This ensures data compatibility with previous measurement methods.

51 conversion expressions can be obtained at the cumulative % points (0.01%, 2%, 4% …… 96%, 98%, 99.98% on vertical axis) to express the relationship between the particle size distribution data measured by SALD-7500nano and that measured by another instrument or technology.
102 parameters ai (i = 1,2,..…, 51) and bi(i = 1,2,..…, 51) used in 51 conversion expressions can be stored as a parameter table, which can be used for emulations.
This emulation function may be able to reduce some problems when an old particle size analyzer is upgraded to a new instrument.
The same samples must be measured by two instruments in order to develop the parameter table for emulations.
・Mixture Data Simulation Function
Allows simulating particle size distributions using any mixture ratio of multiple particle size distributions. This makes it possible to determine the optimal mixture ratio for obtaining the desired particle size distribution, without the trouble of repeatedly measuring the particle size distribution of sample mixtures.
・Data Connecting Function
Allows combining the measurement results for two different measurement ranges at any particle size point to create a single particle size distribution. For example, sieve data for particles above 2000 μm can be combined with SALD series data for particles below 2000 μm to create a wide-ranging particle size distribution, which is required for civil engineering, disaster prevention, and environmental fields.
More efficient processing of multiple sets of data
Multiple sets of data can be stored as a group. In addition to organizing the data, it makes redisplaying and reanalyzing it easier. Data can be loaded as a group and displayed or analyzed at the same time, rather than having to load each set of data separately.
This page may contain references to products that are not available in your country.
Please contact us to check the availability of these products in your country.