Structure
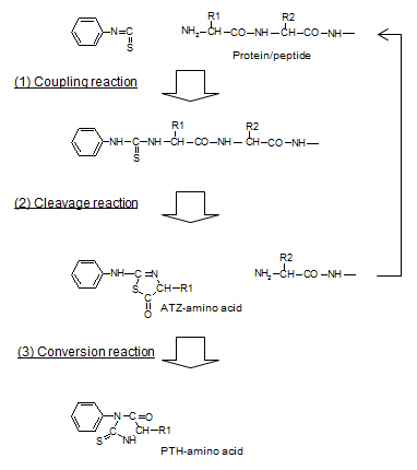
Using Edman degradation, it derivatizes the amino acids of a protein in order from the N-termini, cleaves the derivatives, and from the HPLC retention times for these cleaved derivatives, identifies the amino acids.


For Research Use Only. Not for use in diagnostic procedures.
This page may contain references to products that are not available in your country.
Please contact us to check the availability of these products in your country.